-
We have published a new paper in Nature Communications that combines virological, proximity, and environmental data to study respiratory virus transmission in schools. This six-week longitudinal study in a Swiss secondary school represents the first integration of these three data types to assess their relative contributions to disease spread.
The study tracked 67 students aged 14-15, detecting 87 infections through saliva samples while simultaneously measuring close-proximity contacts with wearable sensors and air quality via CO2 monitors. Genomic analysis was used to exclude implausible transmission pairs. The results show that time spent in shared, poorly ventilated classrooms was a stronger predictor of transmission than time spent in close proximity to infected individuals. This suggests that prolonged exposure in shared spaces with potentially multiple infectious sources drives respiratory virus transmission more than direct close contact, with implications for school ventilation policies and mitigation strategies.
-
We have published a new paper in PLoS Computational Biology presenting an algorithm to construct synthetic temporal contact networks for epidemic modeling. The algorithm addresses a key limitation in using short-term contact data for long-term epidemic simulations: how to extend contact data while preserving realistic patterns of both regular friendships and casual contacts.
High-resolution contact data are typically recorded over short time windows relative to epidemic timescales. Simply looping over short-term data can lead to unrealistic transmission chains because all contacts are deterministically repeated without any renewal of contact partners. Real contacts include a combination of regularly repeated contacts due to friendships and more casual ones.
Our algorithm longitudinally extends contact data recorded in school settings while preserving this dual aspect of contacts. Using agent-based simulations of SARS-CoV-2 spread on synthetic contacts, we show that preserving friendships does not strongly affect transmission routes between classes but leads to different infection pathways between individual students. The results indicate that gathering contact data during just two days in a population is sufficient to generate realistic synthetic contact sequences on longer timescales, contributing to optimal design of future field data collection efforts.
-
Today, the COVID-19 Pathfinder project funded by Fondation Botnar came to an and after a successful final review meeting. Over the course of the last 4 years, the project, led by EPFL, supported the development of Digital Contact Tracing technologies, in particular the Decentralized Privacy-Preserving Proximity Tracing (DP-3T) protocol that was the base for Apple and Google’s Exposure Notifiation technology adopted by several COVID-19 national apps worldwide.
The project also supported the development of wearable proximity sensors based on Ultra-Wide Band (UWB) technology, that affords more accurate distance measurements than attenuation-based systems. The sensor hardware was developed by 3db Access and the sensor firmware was developed at ISI Foundation based on the SocioPatterns firmware components.
The new generation of UWB-based sensors were deployed and validated in a hospital technical pilot in Switzerland. After that, we deployed the well-tested SocioPatterns attenuation-based sensors alongiside the new UWB-based sensors in 4 1-day studies: households in Kenya (about 100 participants), households in Côte d’Ivoire (65 participants), a hospital in Kenya (100 participants) and a hospital in Côte d’Ivoire (100 participants). These data collection will allow us to carry out extensive comparison of the performance of attenuation-based vs UWB-based proximity sensors in real-world environments of interest for digital contact tracing applications and for trasnmission studies of infectious diseases.
The deployments in Kenya and Côte d’Ivoire were used as a technology probes to investigate user-oriented and social aspects of digital contact tracing, identifying barriers to adoption and emphasizing the need for culturally sensitive wearable devices. The results of this study were published at the 2025 CHI Conference on Human Factors in Computing Systems.
-
Researchers from ETH Zurich, EPFL, and the ISI Foundation have developed an advanced wearable tracking system to identify infection transmission risks in healthcare facilities. The system combines ultra-wideband (UWB) radio technology with software from the SocioPatterns collaboration to map contact patterns among hospital staff with high spatial (about 10cm) and temporal (about 5 seconds) precision.
The technology has been tested in hospitals in Switzerland (Kantonsspital St. Gallen infectious diseases clinic), Kenya, and Ivory Coast. The system can detect high-risk interactions defined during the COVID-19 pandemic as contacts lasting 15+ minutes at distances under 150 centimeters. Hospital administrators can use the data to implement targeted prevention measures, such as evaluating the effectiveness of masking policies, different mask types, and hand hygiene protocols. More details are available in the ETH Zurich news article.
-
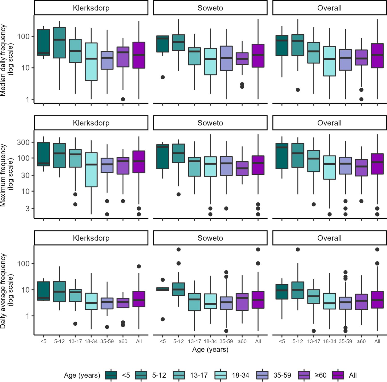
We have published a new paper in eLife on SARS-CoV-2 transmission in South African households. This study combines wearable proximity sensors with virological data to assess the association between close-range contact patterns and SARS-CoV-2 transmission within households.
The study involved 340 individuals (88 index cases and 252 household members) who wore proximity sensors for two weeks after SARS-CoV-2 was identified in the household. While viral load and demographic factors were associated with transmission risk, we did not find an association between close-range proximity events and SARS-CoV-2 acquisition. These findings may suggest that airborne transmission in shared household spaces plays a larger role than droplet-mediated transmission during close-proximity contacts, or may reflect the high baseline contact rates within households.
Frequency of all close-range proximity events within households by age group (year) and site. -
The wearable proximity sensors of the SocioPatterns collaborations have been deployed at the Concordia Base, the French-Italian research station in Antarctica. Data from the sensors will be used to quantify social interactions networks in the context of a series of studies on team performance and health duering long-term isolation. This is a collaboration with the University of Bern (Prof. Andrea Cantisani), ETH Zurich (Prof. Jan Schmutz), and the Universidade Lusófona (Prof. Pedro Marques-Quinteiro).
Concordia Base in Antarctica. Photo copyright by European Space Agency. -
We have published a new paper in The Lancet Infectious Diseases on strategies to minimize school closures during the COVID-19 pandemic. This study uses high-resolution SocioPatterns contact data from primary and secondary schools, combined with data from pilot screenings in 683 schools during the alpha variant wave in France, to evaluate the costs and benefits of different intervention protocols.
Using an agent-based model of SARS-CoV-2 transmission, we estimated school-specific effective reproductive numbers for the alpha and delta variants. The results show that weekly testing of 75% of unvaccinated students (PCR tests on saliva samples in primary schools and lateral flow tests in secondary schools), in addition to symptom-based testing, would reduce cases by approximately 35% compared with symptom-based testing alone. Regular testing would also reduce student-days lost by up to 80% compared with reactive class closures.
The findings indicate that extending vaccination coverage in students, complemented by regular testing with good adherence, are essential steps to keep schools open when highly transmissible variants are circulating. Even with moderate vaccination coverage in students, regular testing provides additional control benefits.
-
We have published a new paper in EPJ Data Science describing contact patterns measured in a rural village in Malawi. This study, conducted in collaboration with the University of Zurich and the College of Medicine in Lilongwe, and funded by UNICEF Malawi, represents the first detailed characterization of face-to-face contact patterns in a rural African setting.
Using wearable proximity sensors, we measured contact patterns among 164 individuals over five days in a village in southern Malawi. The data reveal contact patterns that differ substantially from those observed in high-income countries, with implications for understanding respiratory disease transmission in low-resource settings. The study highlights the importance of collecting empirical contact data across diverse populations and environments to inform public health interventions.
Contact network of the village. Nodes are color-coded according to age-category (Panel A) and gender (Panel B). Node size is proportional to degree. Edge thickness is proportional to the total time spent in proximity. -
We have published a new paper in the Journal of the Royal Society Interface on the effectiveness of manual and digital contact tracing for COVID-19. The study uses high-resolution SocioPatterns contact datasets from several contexts to evaluate the relative and combined impact of manual contact tracing (MCT) and digital app-based contact tracing.
The results show that the benefit (epidemic size reduction) is linear in the fraction of contacts recalled during MCT and quadratic in the app adoption rate, with no threshold effect. Benefits are higher and the cost lower when the epidemic reproductive number is lower, highlighting the importance of combining tracing with additional mitigation measures. The observed phenomenology is qualitatively robust across different datasets and parameters, and we obtain analytically similar results on simplified models.
-
Following years of measurements in human populations, SocioPatterns has expanded to measuring proximity networks of animals in collaboration with research institutions studying animal behavior and disease transmission. Recent publications include studies of free-ranging domestic dogs in rural Chad, sheep flocks in the UK, and primates.
These deployments use adapted versions of the SocioPatterns wearable sensor technology to measure social contact patterns and proximity networks in animal groups. The goals of these studies range from understanding social network structure in animal populations to developing better models of disease transmission dynamics. The expansion demonstrates the versatility of the measurement approach and opens new research directions at the intersection of animal behavior, social network analysis, and disease ecology.
-
Through a publication in EPJ Data Science, we have released several new data sets of different types. These datasets can be found on Zenodo.
On the one hand, we have released new temporally resolved data on face-to-face interactions collected in
- the SFHH scientific conference held in 2009, with more than 400 participants to the data collection, a data set that we have already used in several publications such as Simulation of an SEIR infectious disease model on the dynamic contact network of conference attendees
- an office building (InVS, French Health observatory) in 2015 (following a first data collection performed in 2013, published here). This data set contains also metadata, i.e., to which department each individual belongs.
In addition, we release data sets describing the temporally resolved co-location of individuals, where co-location of two individuals at time t means that the same exact set of readers have received signals from both individuals at time t. Data can be found on our website or on Zenodo.
Obviously, the co-location data corresponds to a coarser spatial resolution than the face-to-face data, and we have compared the corresponding data in terms of structure and when used in data-driven simulations of disease propagation models in our paper.
-
After so many measurements concerning humans in different contexts (which we will continue measuring), SocioPatterns has partnered with different institutions to measure proximity networks of animals, ranging from free-roaming dogs to sheep and cows. The goals of the studies range from the study of social networks of animals to the development of better models of disease transmission in animal groups.
-
In order to fight and mitigate emerging epidemics, non-pharmaceutical interventions can become necessary. Among these, school closure is typically regarded as a viable mitigation strategy: children indeed are known to play an important role in the propagation of infectious diseases, due to their high rate of contacts at school.
School closure is however a costly measure whose applicability remains uncertain and whose implementation should carefully be weighed on the basis of cost-benefit considerations.
In two successive studies published in BMC Infectious Diseases, we have used high resolution data on the contact patterns of children that we collected in a primary school,(i) to define and investigate alternative, less costly mitigation measures such as the targeted and reactive closure of single classes whenever symptomatic children are detected, at the scale of a single school and (ii) to evaluate the effectiveness of several such gradual reactive school closure strategies at the scale of entire municipalities.
Our results highlight a potential beneficial effect of reactive gradual school closure policies in mitigating influenza spread. Moreover, the suggested strategies are solely based on routinely collected and easily accessible data (such as student absenteeism irrespective) and thus they appear to be applicable in real world situations.
References:
- Mitigation of infectious disease at school: targeted class closure vs school closure
- School closure policies at municipality level for mitigating influenza spread: a model-based evaluation
-
We have published a new paper in Nature Communications. In this paper, we consider the issue of how to correctly inform numerical models of the propagation of infectious diseases when only partial information on the contacts of individuals is available, due to population sampling. Indeed, the coverage of the population in many measures of detailed contact networks is incomplete, and this yields a systematic underestimation of epidemic risk if the data is used without precaution. Here, we introduce a method to compensate for this systematic bias and obtain accurate evaluations of epidemic risk using incomplete data. To this aim, we have developed an algorithm that effectively fills in the gaps of the empirical data with a realistic picture of the missing contact network. Although the obtained surrogate contacts are different from the actual missing contacts, using them in the simulation of an influenza-like process gives an accurate estimation of what would have been obtained on using complete data. It is therefore possible to have a good estimation of the epidemic risk, even if a substantial fraction of the contacts are missing from the empirical data.
-
We have just published a new paper in PLoS ONE. In this paper, we present a detailed comparison between various types of data describing contacts and relationships between students in a high school: data collected from wearable sensors, data from contact diaries and data from surveys in which students were asked to name their friends.
We release all the corresponding data both in the Supplementary Information of the paper and in the SocioPatterns page dedicated to data.
-
On May 27t the SocioPatterns platform was deployed to track and analyze the interactions of people, objects and spaces during a full-scale exercise organized by the CRIMEDIM Research Center in Emergency and Disaster Medicine in collaboration with the Italian Army and a number of other partners, including the ISI Foundation. The exercise involved almost 500 people, a ROLE2+ military field hospital, 2 primary care centers, 8 ambulances and a coordination center. The tracking system featured fully-distributed recording of the interactions between people, ambulances, hospital rooms and equipment, with real-time monitoring of the hospital workflow and live views in the operations center.
-
We have just published a new paper in BMC Infectious Diseases where we compare different strategies for epidemic mitigation in a primary school and investigate the performance of targeted class-closure interventions.
In the Supplementary Information of the paper, we release a dataset on the face-to-face interactions in a primary school, measured by using wearable proximity sensors. The dataset covers over 200 persons (students and teachers) for about 2 days, and provides not only a complex temporal network, but also the ground truth for communities, i.e., a school class attribute for all nodes in the network. Enjoy!
-
We have launched a pilot study in collaboration with Laura Ozella and her team at the University of Torino, Italy. We aim at instrumenting colonies of feral cats in the city of Torino with new proximity sensors programmed by the ISI Data Science Lab to operate in a fully distributed fashion. We will measure the social structure of feral cat colonies in urban settings, and put these data in relation to clinical and microbiological data on cats’ health and transmissible conditions. This pilot study is part of a broader study on animal health and environmental risk factors led by Laura Ozella.
-
We are thrilled to announce that the long time hardware partners of the SocioPatterns collaboration, Brita Meriac and Milosch Meriac of Bitmanufaktur and OpenBeacon, have open sourced the design of their latest BLE beacons. The new beacons already support the recently announced Physical Web protocol by Google. We look forward to a surging wave of open sociometrics.
-
We have presented a wealth of new data, analysis and results at the annual European Conference on Complex Systems ECCS’14 held in Lucca from Sept. 22 to 26, 2014. Contributed talks were given by A. Barrat, M. Génois, C. Vestergaard and L. Gauvin. R. Mastrandrea also presented preliminary results at the TNETS’14 satellite. Moreover, A. Barrat and C. Cattuto gave invited talks at the “Computational Social Science satellite workshop”. Finally, we were glad to see various talks by scientists who used SocioPatterns data sets.
-
We have published a new paper in PLoS ONE describing the contact patterns among students in a French high school in two different years.
The aggregated contact networks and contact matrices show a clear structure, with much larger values on the diagonal (corresponding to contacts within each class). In addition, we perform a longitudinal analysis of the data on two very different timescales and we show the high stability of the contact patterns across days and across years: the statistical distributions of numbers and durations of contacts are the same in different periods, and we observe a very high similarity of the contact matrices measured in different days or different years. We investigate the stability of contact networks in more details through the similarity of neighbourhoods of single individuals in different days, showing that the contacts of each individual vary substantially in different days, but much less than in null models in which contacts are renewed at random from one day to the next. The observed values of these similarities are similar in the two data sets corresponding to two different years, and can thus be considered as a feature to be included in realistic models of human contacts in such an environment.
We moreover release the corresponding time-resolved datasets. The datasets are available here as a tab-separated list of contacts during 20-second intervals of the data collection.
-
As each year, SocioPatterns members have presented new results at the NetSci2014 conference in Berkeley, CA. Ciro Cattuto was invited speaker at the workshop on “Temporal Networks, Human Dynamics and Social Physics”, with a presentation titled “Learning structures from high-resolution social network data”. Laetitia Gauvin presented results on “Selective Latent Factor Analysis for Epidemic Spreading in Time-Varying Networks” in the main conference.
-
We have just published a new paper in PLoS ONE, titled “Estimating Potential Infection Transmission Routes in Hospital Wards Using Wearable Proximity Sensors”. This paper describes the properties of the contact patterns between patients, patients and health-care workers (HCWs) and among HCWs in a hospital ward in Lyon, France, from Monday, December 6, 2010 at 1:00 pm to Friday, December 10, 2010 at 2:00 pm. The study included 46 HCWs and 29 patients.
In addition, we release the corresponding time-resolved dataset. The dataset is available here as a tab-separated list of contacts during 20-second intervals of the data collection, and also in GEXF format as a supplementary information of the published paper.
-
Today we release a new manuscript based on the PhD work of Juliette Stehlé and the behavioral data we collected in a primary school using the SocioPatterns proximity sensors. The manuscript, Gender homophily from spatial behavior in a primary school: a sociometric study , uses high-resolution proximity data among children to investigate gender homophily, its evolution with children age, and its dependence on tie strength.
-
We have released a new preprint dealing with the analysis of temporal networks of human contacts: Activity clocks: spreading dynamics on temporal networks of human contact. In this manuscript, we show how spreading processes are an efficient investigation tool of contact networks by focusing on the arrival time distributions of such processes. When computed in terms of “activity clocks” inherent to each node of the network, these distributions are shown to exhibit a very robust behavior. We define hierarchies of null and generative models of time-varying networks and show that the empirical patterns can be understood in terms of heterogeneous inter-event time distributions coupled with heterogeneous numbers of events per edge. We also show, both empirically and by using a synthetic dataset, that significant deviations from the generic behavior can be caused by the presence of edge classes with strong activity correlations.
-
Ciro Cattuto is presenting a review of our results in the workshop on “Temporal and Dynamic Networks: From Data to Models” taking place on June 3-4, 2013 in Copenhagen, Denmark as a satellite of NetSci2013. Moreover, Laetitia Gauvin presented new results on “The activity-community structure of time-varying networks: A non-negative tensor factorization approach” in the workshop on “Dynamic Information and Communication Networks 2013”.
-
A book chapter by Alain Barrat and Ciro Cattuto was published in the new book on Temporal Networks edited by Petter Holme and Jari Saramäki.
-
Alain Barrat has presented the results of our recent paper An infectious disease model on empirical networks of human contact: bridging the gap between dynamic network data and contact matrices at the Digital Epidemiology workshop that took place at ISI Foundation, Turin, on May 30-31, 2013.
-
We have just published a new paper in BMC Infectious Diseases. We use SocioPatterns data collected in a hospital ward to ask which representations of contact data work best to inform models of disease spread. We show that the commonly used contact matrix representation fails to reproduce the size of the epidemic obtained using the high-resolution contact data and also fails to identify the most at-risk classes. We introduce a contact matrix of probability distributions that takes into account the heterogeneity of contact durations between (and within) classes of individuals, and we show that, in the case study presented, this representation yields a good approximation of the epidemic spreading properties obtained by using the high-resolution data.
-
A new manuscript describing research done using SocioPatterns data collected in two jointly organized conferences is available here.
-
Scientific American used our data to display contact networks in a hospital ward in the November 2012 Graphic Science column. The interactive visualization can be seen here.
-
New results from the SocioPatterns collaboration will be presented at the European Complex Systems Conference 2012 in Brussels, Belgium.
Laetitia Gauvin will speak in the main conference track on September 7th about Patterns of spreading dynamics over networks of human proximity.
Anna Machens will speak at the satellite workshop on Data-Driven Modeling of Contagion Processes about Bridging the gap between dynamic network data and contact matrices.
-
Recent work on age-dependent gender homophily in schools will be presented at the upcoming Sunbelt XXXII conference in Redondo Beach, CA (March 12-18, 2012). Juliette Stehlé will give a talk on “Gender homophily among children: a sociometric study using RFID badges”.
-
An overview of the SocioPatterns collaboration and of its results will be presented at the APS March meeting in Boston, USA (Feb. 27 - Mar. 2, 2012): A. Barrat will give an invited talk titled “Mining networks of human contact with wearable sensors”.
-
The time-resolved dataset of human contacts gathered during the artscience exhibition INFECTIOUS: STAY AWAY at the Science Gallery in Dublin, Ireland is now available for download. It is the dynamic counterpart of the daily cumulated contact networks released previously.
-
Recent results from the SocioPatterns collaboration will be presented at the 3rd Epidemics conference in Boston, USA (Nov. 29th - Dec. 2nd, 2011).
Ciro Cattuto will give a talk titled “Close encounters in a pediatric ward: Measuring face-to-face proximity and mixing patterns with wearable sensors”, and two posters will as well be presented.
-
A new SocioPatterns dataset is now available for download. We are releasing to the public a high-resolution time-resolved network of human contact, gathered at an academic conference. If you have questions about these data, please do not hesitate to contact us!
-
A new paper has just been published in PLoS ONE, on the properties of contact patterns between children in a primary school. Schools are epidemiologically important environments, and access to empirical contact patterns can empower modeling efforts as well as design strategies for containing the spread of infectious diseases. The paper reports on our first large-scale deployment in a school environment.
-
A new study of ours has been published in BMC Medicine, with a commentary by Sally Blower and Myong-Hyun Go. In this paper we simulated a SEIR process on the dynamical network of human proximity recorded through the SocioPatterns sensing platform. We report on the implications of using high-resolution dynamic social network data on modeling epidemic processes.
-
A new paper published in Ad Hoc Networks reports on our investigation of data diffusion on ad hoc networks considering a real-world dynamical network of human proximity obtained with the SocioPatterns sensing platform. In this paper, we propose a new way of measuring delivery times of messages which allows us to deal with non-stationary situations in ad hoc networks and to obtain a robust characterization of data dissemination. This new approach is useful to set constraints for generic processes of data dissemination, as well as to validate established models of human mobility and proximity that are frequently used to simulate realistic behaviors.
-
Several results from the SocioPatterns project were presented at the 2011 Network Science Conference in Budapest, Hungary.
Ciro Cattuto reported on simulations of realistic epidemic spreading phenomena using data from a SocioPatterns deployment. These results will soon appear in BMC Medicine.
Alain Barrat presented the results of our paper What’s in a crowd? Analysis of face-to-face behavioral networks published in the Journal of Theoretical Biology (2011).
Anna Machens discussed the interplay between the timescales of evolution of a dynamical network and the timescales of dynamical process taking place on the network.
Wouter Van den Broeck discussed the making of SIXTY-NINE DAYS OF CLOSE ENCOUNTERS AT THE SCIENCE GALLERY in Arts, Humanities, and Complex Networks, the 2nd Leonardo satellite symposium.
-
On April 18h, a workshop organized by the London School of Hygiene and Tropical Medicine explored the state of the art on “Social Contacts and Mixing Patterns in Epidemiology”, focusing on measurement techniques and field experiences. Ciro Cattuto was invited to give a talk on the experience of the SocioPatterns project in measuring dynamical networks of human contact. Thanks to Ken Eames and John Edmunds for a very stimulating meeting!
-
Representations of geographic and urban spaces that host human activities have become readily available. However, the representation of the social and dynamical aspects of the human interactions that take place in those spaces is lagging behind. Similarly, topological representations of online social networks have been explored, but those concerning dynamical aspects less so.
In order to better understand the opportunities, problems and issues related to the representation of dynamical processes and networks, we organize a workshop in the context of our IMéRA residency on “Data-driven Exploration of Dynamical Networks”. This workshop brings together researchers and designers that work on complex contexts such as inter-personal contacts, interaction and information networks in social media, urban mobility and infection or opinion dynamics.
The invited speakers are:
- Donato Ricci - DensityDesign lab, Design Department, Politecnico Milano, Italy
- Andrew Vande Moere - Department of Architecture, Urban Design and Regional Planning, KUL, Belgium - infosthetics.com
- Niels Schrader - Mind Design, Amsterdam - Willem de Kooning Academy, Rotterdam, Netherlands
- Tommaso Venturini - Médialab, Sciences Po Paris, France
-
Ciro Cattuto, Wouter Van den Broeck and Marco Quaggiotto will spend the month of April in Marseille for a residency at the Aix-Marseille Institute for Advanced Study (IMéRA), together with Alain Barrat from the CPT in Marseille. The work at IMéRA will focus on a broad art-science look at dynamical network data, and will include a public workshop with high-profile experts in the field, that will be announced later this week.
-
Pixelache Festival of Electronic Art and Subcultures The Pixelache Festival got started today on the Suomenlinna island in Helsinki, Finland. SocioPatterns is well represented by Wouter Van den Broeck. On thursday he will lead one of the three tracks in the MAPPING IN PROGRESS workshop, which will focus on the cultural roles of mapping. On friday he will give a talk in the MAP ME IF YOU WILL seminar, discussing the opportunities and challenges of a data-driven society, and the role of mapping in these. Finally, the SIXTY-NINE DAYS OF CLOSE ENCOUNTERS AT THE SCIENCE GALLERY visualization will be shown in the “Camp Pixelache” exhibition, while “the making of” will be discussed in a presentation on Saturday.
-
We have published a new paper about a recent study of face-to-face proximity and mixing patterns in a pediatric word at the Bambino Gesù Hospital in Rome, Italy. This study shows the feasibility of accurate and reproducible measurements of the pattern of contacts in a hospital setting. The obtained results are particularly useful for the study of the spread of respiratory infections, for monitoring critical patterns, and for setting up tailored prevention strategies.
-
We will present (the making of) our Infectious SocioPatterns visualization at Arts, Humanities, and Complex Networks, the Leonardo satellite symposium at the 2011 Network Science Conference in Budapest, as well as at Camp Pixelache during the Pixelache festival in Helsinki.
-
We have published a visualization of sixty-nine days of face-to-face contact activity among more than 30,000 persons based on data collected during the INFECTIOUS: STAY AWAY exhibition in the Science Gallery in Dublin, Ireland. This visualization is published in our gallery as a poster that can be freely downloaded.
Detail from Infectious SocioPatterns visualization poster. -
We have added a new section on the SocioPatterns.org site: the gallery. It offers a collection of visualizations, pictures, movies and other media created and/or recorded in the context of the SocioPatterns project.
INFECTIOUS lanyards -
The Journal of Theoretical Biology recently published our paper with an analysis of face-to-face behavioral networks. The full reference is given in the publications list.
-
Wouter Van den Broeck, a member of the SocioPatterns project and one of the initiators of the Practice Mapping project, will participate in the Mapping in Progress workshop at the Pixelache Festival of electronic art and subcultures in Helsinki as well as give a talk during the Map me if you will seminar. We’re looking forward to both opportunities for auspicious interaction with the community and hope you will be there as well!
-
We are happy to announce that the proximity-sensing RFID technology jointly developed (and patent-pending) by ISI and Bitmanufaktur has been temporarily licensed for use in North America limited to specific application domains. This does not affect our commitment to open source a large body of our work in the near future.
-
Ciro Cattuto, Wouter Van den Broeck, Alain Barrat, Vittoria Colizza, Jean-François Pinton, Alessandro Vespignani, Dynamics of Person-to-Person Interactions from Distributed RFID Sensor Networks, PLoS ONE 5(7): e11596 (2010). [PDF]
-
Wouter Van den Broeck and Marco Quaggiotto gave a talk at Frontiers of Interaction 2010. The subject was “Augmented Social Reality” and covered a service context in which the SocioPatterns platform is and can be applied.
-
Following up on the successful Live Social Semantics experiment at ESWC2009, today we are launching a new deployment of the Live Social Semantics platform at the 7th Extended Semantic Web Conference in Crete, Greece.
To lean more about this experiment as it develop, follow us on Twitter, or monitor the #eswc2010 hashtag.
-
A new artscience project called Practice Mapping will be using the SocioPatterns platform during a workshop co-organized by LABoral and Medialab-Prado. The project aims to investigate the interaction dynamics of the creative process. It wants to make visible the network of interactions between the concerned people, objects and work tools, relevant locations in and around the workshop, and relevant events as logged by the participants. It intends to blend scientific data collection and analysis techniques, with artistic reinterpretation methodologies in order to build a visual narrative of these interaction dynamics, linking different representations in a system of maps.
The Practice Mapping project is one of the projects that will be developed during the Interactivos? LABoral: When Process Becomes Paradigm workshop. Artists, designers, sociologists, ethnographers, or other interested parties are invited to join this effort as workshop participants from 8 till 20 April at LABoral in Gijon, Spain. For more information see practicemapping.org.
-
Wouter Van den Broeck will be attending the Council event on the Internet of Things in Brussels, on Friday 4th. If you want to know more about SocioPatterns, go look for Wouter! You will also find him at the workshop on Reassembling Health: exploring the role of The Internet of Things.
-
Since the beginning of the past week, we have been running a pilot experiment in a major Italian pediatric hospital, in a collaboration with the hospital and the ISS. The experiment involves patients, doctors, healthcare workers and visitors, simultaneously collecting contact information and clinical information. We aim at measuring epidemiologically relevant quantities in a real-world healthcare setting.
Doctor wearing a proximity sensor. -
On October 1-2 a SocioPatterns experiment will run in a new setting: a primary school in Lyon, France. We will record the proximity patterns of about 240 students.
-
In moving from measuring social interactions to augmenting them, a critical task is the integration of heterogeneous data sources, such as real-world face-to-face contacts, on-line friendships and shared interests (both explicitly stated or implicitly inferred from metadata). This integration holds the key to exposing the social semantics of the measured interactions, and paves the door to new kinds of applications that assist social networking, support social browsing, and provide recomendation, and serendipitous discovery.
We believe that the best way to learn about the right research questions is to actually design and build a working system that can be deployed at real-life social gatherings. We partnered with the TAGora project, and specifically with the team of the University of Southampton (Harith Alani, Martin Szomszor and Gianluca Correndo) and designed the Live Social Semantics (LSS) experiment. The basic idea is to focus on a conference gathering and establish a contact between: A) the real-world identities and physical-space relations of conference attendees, B) their identities and relations in web-based systems for social networking and collaborative tagging, and C) their identities in semantic representation of knowledge that describe their interests and collaborations (paper co-authorship, for example). The SocioPatterns project provides the social sensing platform needed for A), while the TAGora project provided the profile-mining and semantic integration techniques required to collect, filter and represent B) and C). The movie below illustrates the experiment concept and the user-facing aspects of the system.
Attendees enroll in Live Social Semantics (LSS) by volunteering to wear a RFID-equipped badge that can detect face-fo-face proximity. This is the real-world part of the experiment. The real-world identity of an attendee is then associated with multiple on-line identities of her choice by creating a user profile in the LSS web interface. LSS currentlty supports Facebook, Flickr, Delicious.com, and Last.FM. Once a profile has been created, the system will gather data from these systems in the background, record on-line friendships and infer interests and shared interests. The system will also mine for co-membership in communities of practice (COP) using semantic web sources such as the RKBExplorer.
The data collected and integrated by LSS are stored as RDF relations in a triple store, and fed back to the conference attendees in a number of ways. There are public real-time visualizations of the ongoing face-to-face contacts (as in previous SocioPatterns experiments), but now annotated using information and profile pictures from on-line social networks and semantic data. Participants can also visit their account page on the LSS web interface and browse the list of persons they have been in contact with during the event, ranked by the measured strengths of the interactions. On top of that, the system provides an interactive web-based visualization that allows users to browse their ego networks across all supported systems, exploring the interplay of face-to-face time, on-line friendships and shared interest. The system also provides simple forms of recommendation, by suggesting the closure of social triangles that span the supported networks: for example, if attendee A has spent face-to-face time with attendee B, the system can point her to the profile of a third attendee C who is a Facebook friend of both A and B, and hasn’t met A yet at the event.
The architecture of the system and some basic usage statistics are reported in a paper that will be presented in the “Semantic Web in Use” track of the International Semantic Web Conference 2009 (ISWC2009). From a research perspective, the collected data enable to relate, quantitatively, how much an on-line friendship between individuals is predictive of their face-to-face time, and how the structure of the on-line and real-world social networks relate to one another. Results about this will be posted here in the coming weeks.
-
Following up on the success of the Live Social Semantics experiment at the European Semantic Web Conference 2009 in Greece, we will deploy a new experiment at Hypertext 2009 in Torino, from Monday 29th to July 1st. HT09 attendees will be able to experience an application that mashes up real-world social contacts and on-line friendships and interests, in real time.
-
If you already know a thing or two about Adobe Flash/Flex, Processing/Python or SuperCollider/Max/MSP, and you want to seize this unique opportunity to apply your skills in a two-day ‘Hack-a-Thon’ workshop to visualize/sonorize the SocioPatterns data stream at the Science Gallery- this is the workshop for you! This event is a hands-on exploration of possible ways of visualizing and/or sonorizing the live data-stream from the SocioPatterns deployment in the INFECTIOUS exhibition. In addition, you may be able to apply your own Arduino magic given the live data feed from the SocioPatterns deployment at the gallery by using Open Sound Control signals which Arduino can receive when connected to the network or over Wireless or Bluetooth. Arduino can, given these signals, do all kinds of stuff, like triggering blinking lights.
Basic libraries for tapping into the live data stream for each of these platforms will be provided. During the workshop, participants will be able to tap into the live data stream from the SocioPatterns deployment at the Science Gallery. Given that the participants will only have access to the live stream during the workshop, the idea is to have finished pieces by the end of the workshop. It is necessary that all participants think about what they want to do beforehand, and even pre-develop basic artwork to be used during the workshop.
This workshop is free, but you need to reserve here (hurry, because we’ve heard that there are only a few places left…)
-
We’re proud to announce that today we had three simultaneous SocioPatterns experiments successfully up and running in three different countries. One experiment has been running for more than six weeks at the Science Gallery in Dublin, Ireland, the second has been running for the last couple of days at the 2009 European Semantic Web Conference conference in Heraklion, Greece, and the third started today at the 20ème Congrès de la Société Française d’Hygiène Hospitalière in Nice, France.
-
We have three new SocioPatterns experiments in the pipeline. The first will be deployed at the 2009 European Semantic Web Conference from May 31st to June 4th, in Heraklion, Greece. This deployment will focus on the integration of the real-time social interaction data with semantic data on the on-line social networks of the participants.
The second will be deployed at the 20ème Congrès de la Société Française d’Hygiène Hospitalière on June 4th and 5th in Nice, France. This deployment aims to demonstrate the SocioPatterns platform and its ability to collect highly detailed data on the social interactions in a large-scale setting.
The third experiment will be deployed at the ACM Hypertext 2009 conference from June 29th to July 1sr, at Villa Gualino in Torino, Italy.
-
Last week we deployed a new SocioPatterns experiment at the Infectious exhibition in the Science Gallery at the Trinity College in Dublin, Ireland. The following movie is a teaser for the exhibition:
Setup
All visitors of the exhibition get to wear SocioPatterns/OpenBeacon tags during their visit. For this exhibition, the firmware has been enhanced to support a “virtual contagion” process. When visitors enter the exhibition their tags are initially “uninfected”. A tag can get “infected” if the person wearing it spends time in the vicinity of an “infected” person. Infected tags have a different blinking pattern and show up as red marks in the real-time visualization available to the visitors, as opposed to green for uninfected ones.
This deployment also features a reactive part that involves audio-visual effects triggered by the proximity of individuals. Various visualizations of either the whole interaction network or contextual subsets, are located throughout the exhibition.
The following is an extract from the April 16 journal on the national Irish TV (RTE) that should give you an idea of the exhibition in general and the theatrical framing of the tag distribution process, as well as (the current state of) the alarm effects in the “tunnel”:
The following video offers a nice overview of the complete exhibition, starting with the SocioPatterns deployment:
Also, have a look at the exhibition guide superbly designed to look like a government emergency procedure leaflet.
Science
This particular SocioPatterns deployment clearly has a high “drama” component to it. It is, however, also scientifically relevant. In particular the fact that it involves a continuous stream of visitors entering and leaving the exhibition is of interest. Such ”high-flow” setting is akin e.g. train stations or airports. A better understanding of the structural and temporal nature of social interaction patterns in such high-flow settings is relevant in a number of domains, including epidemiology. Clearly, collecting detailed data on these patterns in an actual train station or airport is very difficult. The relatively controlled and approximating settings of this exhibition does however provides us a promising opportunity to indeed collect such data.
While our earlier experiments were deployed at conferences with a relatively homogeneous and stable population, here we have a more heterogenous and dynamic population. We can thus now compare the social interaction patterns in these different settings. We are interested in deploying SocioPatterns experiments in yet other kinds of social settings (proposals are welcome!).
The SocioPatterns deployment at the Infectious exhibition includes a “live” simulation of contagious spreading. By framing this functionality as a “game” and controlling the nature of the information that is provided to the visitors in different runs on different days, we hope to collect data on and compare different kinds of behavioral effects.
Acknowledgements
This project has been deployed by Ciro Cattuto and Wouter Van den Broeck in collaboration with the Science Gallery. We would like to thank Michael John Gorman, Don Pohlman and Derek Williams from this great venue for making this possible. We would also like to thank Milosch and Brita Meriac from OpenBeacon.org for once again providing excellent RFID hardware, and the ISI Foundation for their continued support.
Pictures
To wrap up this post, we would like to share some pictures taken at the exhibition:
A bunch of RFID tags ready to be distributed at the entrance.
Handing out the RFID tags.
Handing out the RFID tags.
The tunnel contains alarm effects triggered by nearby infected tags.
Nearing the end of the tunnel with the disinfection stations.
Queuing to get healed at the disinfection stations.
The visualization at the end of the tunnel during the crowded opening event. -
On December 26-30th we deployed a new SocioPatterns experiment at the 25th Chaos Communication Congress in Berlin (25C3). This is the first large-scale deployment of our platform for sensing social interactions. We added to the visualization interface several ways of focusing on particular subsets of the real-time and cumulative contact networks. In line with the conference’s action line “nothing to hide”, we made the live contact network available on the web.
We thank the following persons for their work and support: Milosch Meriac, Brita Meriac, and aestetix, Janette Lehmann, Aurora Mazzone, Marco Perosa, Eric Preston, Tomasz Rybak. Our work at 25C3 was carried out in the context of a broader tracking event by the OpenBeacon project and the OpenAMD project, with hardware and infrastructure provided by Bitmanufaktur. We also thank the organizers of 25C3 for hosting our work at such a stimulating event!
Visualizations, movies and results from the data collected at 25C3 will be posted to this blog in the next few weeks.
-
The following movie visualizes the social interactions between the participants of a recent workshop at Villa Gualino. The visualized data is obtained through a distributed sensing platform. This platform uses active RFID technology to detect “contacts” during which participants are both near each other and are facing each other. If such configuration is sustained for longer than a few seconds, then this generally indicates that some form of social interaction is taking place. Next to the actual contacts, the platform also infers where these contacts take place. An earlier post in this blog provides more details on the technical set-up and the objectives of this project. Note however that we here use the peer-to-peer contact detection scheme detailed in this subsequent post. More details about this are provided in a manuscript available at arxiv.org/abs/0811.4170.
What this movie shows is a time-lapsed replay of some sections of a real-time visualization that was publicly displayed during the workshop, shown in the picture below. In this visualization, the RFID stations are represented as immobile labeled marks laid out in an oval configuration. Their labels name the areas in which the respective stations are located. There are two stations in sala A in which the workshop presentations took place, three in the bar next to sala A, two in the cafetaria in which lunch was served, and one in the lobby. The size of the round part of the station marks is proportional to the summed strengths of the signals received from beacons.
The publicly displayed visualization. The left screen shows the instantaneous contact network, the right screen shows the cumulative network, which will be discussed in more detail in a future post. The mobile circlets represent the beacons, which are the small RFID devices worn by the participants. Their size is proportional to their strength, which is the sum of the weights of the contacts they are involved in. Their situation in the visualization is controlled by a force-directed layout algorithm.
A first set of spring forces are applied between beacons and those stations that are within their radio signal range. Their length and tension is proportional to the strength of the respective signals. Stronger signals, which reflect closeness, are translated in shorter spring lengths and increased tensions. The relative location of the participants with respect to the stations is thus (flexibly) mapped to the abstract geography of the visualization. As the signal strengths change when the participants move around with their beacons, the mapping of their marks will be effected accordingly. A clear example of this is the “migration” of the bulk of the beacon marks towards the bar stations marks during the coffee breaks.
A second set of spring forces is applied between beacons that are in contact with each other. These contacts are furthermore explicitly represented as edges. The thickness and shade of these edges, and their spring length and tension, are all proportional to the weight of the contact.
The layout system also involves drag forces and n-body repelling forces. Unlike the spring forces, these do not reflect actual information, but solely serve to optimize the layout. The drag forces are applied to stabilize the spring driven movements, while the repelling forces, which are applied between all beacons marks, prevent overlap.
Comparing this new movie with the one in the first post clearly shows that the new peer-to-peer scheme produces much more precise contact data. The previous system only used proximity as a proxy for social interactions. However, when for example lots of people are seated in a conference room, then many of them are near each other, even though there is no real social interaction going on. In the old movie this is clearly visible. It shows a highly connected network, almost as if everybody is interacting with everybody else at the same time. While perhaps visually pleasing, it is not a truthful representation of reality.
In the new movie on the other hand, there are significantly fewer contact edges. This is because participants now also need to face each other for a contact to be detected. These contacts are therefore a much more reliable proxy of actual social interactions. This seems to be confirmed by the fact that there are now less contacts during the presentations in Sala A than during the breaks, as one would expect, or at least hope for. This particular observation is, by the way, discussed in more detail in the previous post.
-
High-resolution localization of active RFID devices by means of triangulation is a non-trivial task. However, a more coarse-grained localization, by room for example, is easily feasible.
There were three main ‘rooms’ at the Facing the Challenge of Infectious Diseases conference: the conference room, the bar and the cafeteria. The following figure shows how many participants were in which of these three locations over the course of one day of the conference. It clearly shows the attendance in the conference room during the sessions (two in the morning and two in the afternoon) and the shifts to the bar during the coffee breaks and the cafeteria during breakfast and lunch. The social event taking place in the bar after 7.30 pm is also visible.
Number of attendees in the conference rooms Correlating this location data with the contact data can offer a more interesting picture than the simple attendance figures for seminars or social events. One approach is to aggregate the contact data over discrete time intervals. For each interval we can then calculate measures such as the average number of contacts of each participant, or their average duration. When plotted over time, these measures provide insights into the temporal evolution of the social dynamics of the group as a whole. The following figure is an example of this. In it we compare the average number of contacts per participant, denoted <k>, measured over 20 seconds time windows, with the number of participants that are present in the conference room. Strikingly, the number of contacts per participant is low when the attendance in the conference room is high. A strong increase of the average number of contacts per participant is observed during each break. This clearly shows how most social interactions occur during the coffee and lunch breaks, while a lower level of interaction takes place during the talks: people talking to their immediate neighbor, typically.
Number of attendees and average social network degree over one day Another more detailed approach is to gather for each interval the average number of distinct contact pairs, contact triangles, and contact cliques with four or more participants. In the following figure we again plot these measures over the course of one day. We see that triangles and cliques of 4 individuals almost exclusively occur during the breaks. A fluctuating number of pairs is observed during the session, corresponding most probably to participants turning towards their neighbors to chat or comment. Peaks are observed at the beginning and end of each session and in fact of each talk, when participants have indeed more activity. The small number of triangles observed during the sessions correspond to small groups of participants remaining in the coffee break area for discussions even after the beginning of the session.
Number of 2-, 3-, 4-cliques in the social network over one day That social interactions take place during breaks is certainly not a surprise nor a novelty: these results are clearly expected. Our aim here is to emphasize how our experimental setup is able to characterize face-to-face interaction and not simply spatial proximity. A simpler setup based on physical proximity alone would show a large number of cliques (or even a unique large clique) during the sessions, in which participants are indeed physically close. Here, in contrast, we are able to detect meaningful social contacts, and also discriminate between pair interactions or discussions in small groups of 3, 4 or 5 persons.
-
We just completed a first experiment with our new contact-detection firmware for the OpenBeacon platform. The experiment was hosted at a conference on “Facing the Challenge of Infectious Diseases” and involved about 50 attendees over four days. The new firmware proved to be as much reliable in a real-world setting as it appeared to be in our preliminary experiments. In the next posts, we will report on different aspects of this new experiment.
As a first example of hidden patterns in the dynamics of social contacts, we display below the probability of observing a face-to-face contact of a given duration. The probability P(Dt) of observing a contact of duration Dt is shown as a function of the contact duration Dt. The probability distribution was computed using a few hours of data. The interval of time we analyzed was divided into slices of 20 seconds, and for each of these slices the contact graph of the attendees was computed and used to assess when a new contact was established, continued, or broken. As a consequence, the contact durations we measure are multiples of the interval used for temporal coarse-graining (i.e., contacts last 20 seconds, 40 s, 60 s, …)
Remarkably, this simple analysis exposes a clear pattern of social contact: the duration of face-to-face contacts is power-law distributed (straight line on a log-log plot) with an exponent close to -2 (black line). This behavior holds over different periods of time, and is robust across different groups of individuals.
Probability distribution of contact durations Qualitatively, the figure above shows something obvious: there are comparatively few long-lasting contacts and a multitude of brief contacts. It is remarkable, however, that such a clear-cut pattern emerges when observing a few tens of persons over a few hours. Moreover, the specific value of the scaling exponent (-2) shows that the duration of social contact is scale-free, i.e., there is no “typical” duration for contacts. While one can always compute an average duration of contacts over a finite sample of data, the scaling properties are such that the computed average will increase without limit on increasing the length of the experiment.
We close by noticing that we are not the first to observe this regularity for the duration of social contacts (see for example the work by Scherrer et al. on “Description and simulation of dynamic mobility networks”). Our measurements, however, achieve higher spatial and temporal accuracy than previous studies, and reliably select face-to-face interactions at close range, which are a very good proxy for social interaction.
-
Detecting contacts between persons, in a reliable and accurate way, is a crucial requirement to achieve the scientific goals of SocioPatterns. In a variety of contexts, spatial proximity is a good proxy for social interaction. Spatial proximity of persons wearing an active RFID tag can be inferred by tracking the location of RFID tags, and by using the position information to decide whether two tags are nearby. Locating OpenBeacon tags in space, however, requires several receiving station and is subject to uncontrollable errors that limit both the spatial and temporal accuracy of contact detection. Because of this, we decided to move from contact inference to direct contact detection.
We rewrote the firmware of the OpenBeacon tags specifically targeting contact detection. We are now able to detect contacts between persons with a very good spatial (~ 1 m) and temporal (~ 10 s) resolution. We achieve this by operating the RFID devices in a bi-directional fashion, over multiple radio channels. Tags no longer act as simple beacons, emitting signals for the receiving infrastructure. They exchange messages in a peer-to-peer fashion, to sense their neighborhood and assess contact with other tags. The contact events detected by the RFID network are then relayed to the monitoring infrastructure. On suitably tuning the system parameters, we can easily discriminate who is talking with whom, in a small crowded room, with just one receiving station.
As an example, the figure below displays the results of a simple table-top contact detection experiment. We arranged 5 tags in different configurations, over three desks in a small room (5x3 m). Only one receiving station was used to collect the packets sent by the RFID tags. For each spatial arrangement of tags (described below each panel), the detected contact network is shown.
We are currently performing experiments with small groups of people (20-50) at the ISI Foundation and at the ENS in Lyon, to tune the system parameters and evaluate the performance of this new contact detection scheme. We will soon move to large-scale experiments.
We would like to point out that the open nature of the OpenBeacon project was crucial in allowing us to reprogram the tags. We also acknowledge help from Milosch Meriac.
-
SocioPatterns.org aims to shed light on hidden patterns in social dynamics. A case in point is the study of contact patterns, which deals with such patterns in contacts among people. To date, little is known about these patterns. Although models can help in learning more, measuring real-world dynamics is indispensable for obtaining a complete picture. However, doing so manually is both laborious and intrusive, and tends to produce unreliable data - yet until recently it was the sole option we had. Fortunately, emerging technologies such as active RFID devices offer previously unfeasible means for collecting this much needed data. While collecting data is the first step, making sense of the resulting large amounts of data is the next. This is where insightful visualizations come into play, as these can expose otherwise invisible features and regularities.
The following movie gives an impression of a first contact patterns experiment and visualization we have been working on. It is followed by a detailed description.
Experiment set-up
We have been working on an experimental set-up in which we aim to measure the contact patterns of a group of people. To do so we asked volunteers to wear small tags with integrated active RFID technology, henceforth called the beacons. These beacons continuously broadcast small data packets. These packets are received by a number of stations and relayed through a local network to a server for further processing. The stations are installed in fixed locations in the environment. The beacons and stations we used were created by and obtained from OpenBeacon.org.
Schematic overview of the interactions between the beacons, the stations, and the server. A first medium-sized test deployment of this experimental set-up took place recently (26-29 May, 2008) during the workshop “Sociophysics: status and perspectives” in Villa Gualino, in Turin, Italy. The workshop presentations took place in Sala A, while the participants lingered in the Bar during breaks, and had lunch in the Cafeteria. All three areas were covered by at least four stations each, as shown on the map below.
Map of the placement of the stations in Villa Gualino. The packets from up to 50 beacons were collected continuously for about 75 hours at an overall rate of up to 100 distinct packets per second. In total about 25 million packets were collected, corresponding to about 200 Mb of compressed raw data.
On-line data analysis and visualization server
In addition to recording data for further analysis - whose results will be posted here in the future - we also developed a real-time visualization system to display some aspects of the observed dynamics. Our visualization involves a server component and a client component. The server component processes the beacon packets relayed by the stations. These packets are typically received by multiple stations at varying strengths. These reception patterns can be used as a proxy for the physical proximity of two beacons. A related technique is used in the geo-location feature of the Apple iPod Touch and iPhone, or in services like PlaceEngine.
All calculations are performed in real-time over a sliding window of about two minutes. The post-processed data are dispatched to the visualization client at regular intervals, as an XML stream. The on-line data collection and analysis system is entirely coded in Python on top of the Twisted framework and the Numpy library.
Visualization client
The main visualization represents the beacons, the stations, and their relations of proximity as measured by the system. The beacons are shown as simple discs, which are optionally labeled. Two beacons are connected by a link if the system detected that they are close to each other. The length, thickness and transparency of a link are a function of the strength of the link: short, thick and more opaque links represent strong proximity; thin, transparent links indicate weak proximity. The size of the discs representing the beacons depends on the number and proximity of other beacons, and specifically is a function of the sum of link weights to other beacons. The stations are shown as labeled shapes and laid out in a circle that spans the main view. The size of these shapes varies according to the number of beacons that are close to them.
Stations and beacons in the main visualization view. While the stations are laid out at fixed positions, the beacons are not. The network of their proximity relations is laid out by using a force-based model. Beacons repel each other, and the link between two beacons acts as a spring pulling them close to each other. The stiffness of the spring increases with the proximity of beacons. Beacons are also pulled towards the stations that see them more often, so that groups of nearby beacons are laid out in the vicinity of the stations that is closest to them.
The result is a first attempt to obtain a rather abstract yet comprehensive visualization of the proximity dynamics. The movie at the top of this post contains a time-lapse playback of the most interesting periods of one day of the workshop.
Visualization client interface
The visualization client is an Adobe Air application developed in Flex. The visualization and physics system use (a mildly modified version of) the flare visualization toolkit.
The application interface involves a visualization window, a control panel and a number of auxiliary windows. The visualization itself can be shown full-screen during presentations. The control panel provides various interfaces to manage the data-sources, the visualization and the physics engine.
The data source is either the server component for real-time visualizations, a simulation for off-line testing, or data files for time-lapse playback. When using a simulation, an additional window is provided in which the simulated stations and beacons are shown. When in time-lapse mode, one can activate the recorder, which saves a bitmap file for each rendered frame. These saved frames were for example used to create the movie at the top of this post.
The complete interface of the visualization client, including the simulation window. Credits
visualisation: Wouter Van den Broeck
data analysis: Ciro Cattuto
music: Maps and Diagrams - Siaptik - Recorded by Tim Martin
experiment set-up: Alain Barrat, Ciro Cattuto, Vittoria Colizza, Daniela Paolotti, Jean-François Pinton, Wouter Van den Broeck, and Alessandro Vespignani
thanks to: Santo Fortunato, ISI administration, Ezio Borzani, Milosch Meriac (openbeacon.org), and the workshop participants
sponsoring institutions: Institute For Scientific Interchange Foundation (Torino, Italy), Laboratoire de Physique de l’École Normale Supérieure de Lyon (Lyon, France)